Oblicz, po jakim czasie od wyrzucenia kamienia z pewnej wysokości z prędkością 20 , kierunek jego chwilowej prędkości będzie tworzył kąt 45º z poziomem.
Rozwiązanie
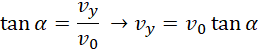
= 45°
Łącząc wzory:
Odp. Kierunek prędkości chwilowej będzie pod kątem 45º z poziomem po około 2,039 s.
Wyjaśnienie
W tym zadaniu musisz wykorzystać zależności składowych prędkości w rzucie poziomym.