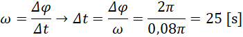
Wyznacz czas wykonania pełnego okręgu przez karuzelę, jeśli jej prędkość kątowa wynosi
Odp. Krzesełko karuzeli zatoczy pełen okrąg w 25 sekund.
Przekształć wzór na prędkość kątową tak, aby uzyskać czas. Pamiętaj, że pełny okrąg to radianów.
Zadanie 3.1.1.
Zadanie 3.1.2.
Podpunkt a)
Podpunkt b)
Zadanie 3.1.3.
Zadanie 3.1.4.
Zadanie 3.1.5.
Zadanie 3.1.6.
Podpunkt c)
Zadanie 3.1.7.
Zadanie 3.1.8.
Zadanie 3.1.9.
Zadanie 3.1.10.
Zadanie 3.1.11.
Zadanie 3.1.12.
Zadanie 3.1.13.
Zadanie 3.1.14.
Zadanie 3.2.1.
Zadanie 3.2.2.
Zadanie 3.2.3.
Zadanie 3.2.4.
Zadanie 3.2.5.
Zadanie 3.2.6.
Zadanie 3.2.7.
Zadanie 3.2.8.
Zadanie 3.2.9.
Zadanie 3.2.10.
Zadanie 3.2.11.
Zadanie 3.2.12.
Zadanie 3.2.13.
Zadanie 3.2.14.
Zadanie 3.2.15.
Zadanie 3.2.16.
Zadanie 3.3.1.
Zadanie 3.3.2.
Zadanie 3.3.3.
Zadanie 3.3.4.
Zadanie 3.3.5.
Zadanie 3.3.6.
Zadanie 3.3.7.
Zadanie 3.3.8.
Zadanie 3.3.9.
Zadanie 3.3.10.
Zadanie 3.3.11.
Zadanie 3.3.12.
Zadanie 3.3.13.
Zadanie 3.3.14.
Zadanie 3.3.15.
Zadanie 3.3.16.
Zadanie 3.3.17.
Zadanie 3.3.18.
Zadanie 3.3.19.
Zadanie 3.3.20.
Zadanie 3.4.1.
Zadanie 3.4.2.
Zadanie 3.4.3.
Zadanie 3.4.4.
Zadanie 3.4.5.
Zadanie 3.4.6.
Zadanie 3.4.7.
Zadanie 3.4.8.
Zadanie 3.4.9.
Zadanie 3.4.10.
Zadanie 3.4.11.
Podpunkt : a)
Podpunkt : b)
Podpunkt : c)
Zadanie 3.4.12.
Zadanie 3.4.13.
Zadanie 3.4.14.
Zadanie 3.4.15.
Zadanie 3.4.16.
Zadanie 3.4.17.
Zadanie 3.4.18.
Zadanie 3.5.1.
Zadanie 3.5.2.
Zadanie 3.5.3.
Zadanie 3.5.4.
Zadanie 3.5.5.
Zadanie 3.5.6.
Zadanie 3.5.7.
Zadanie 3.5.8.
Zadanie 3.5.9.
Zadanie 3.5.10.
Zadanie 3.5.11.
Zadanie 3.5.12.
Zadanie 3.5.13.
Zadanie 3.1.
Zadanie 3.2.
Zadanie 3.3.
Zadanie 3.4.
Zadanie 3.5.
Zadanie 3.6.
Zadanie 3.7.
Zadanie 3.8.
Zadanie 3.9.
Zadanie 3.10.
Zadanie 3.11.
Zadanie 1. Lot samolotem
Podpunkt 1.1.
Podpunkt 1.2.
Podpunkt 1.3.
Podpunkt 1.4.
Zadanie 2. Tor żużlowy
Podpunkt 2.1.
Podpunkt 2.2.
Podpunkt 2.3.
Podpunkt 2.4.
Zadanie 3. Zawody balonowe
Podpunkt 4.1.
Podpunkt 4.2.
Podpunkt 4.3.
Podpunkt 4.4.