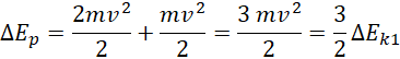
Na podstawie rysunku przedstawionego w podręczniku oblicz, o ile wzrosła energia kinetyczna klocka poruszającego się po stole, jeśli energia potencjalna klocka wiszącego na lince zmalała o 0,3 J.
Rozwiązanie
Wyjaśnienie
Zapisujemy zasadę zachowania energii mechanicznej. Wartość, o jaką zmalała energia potencjalna klocka została przekształcona w energię kinetyczną dwóch klocków.