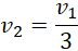
Zasada zachowania pędu:
Dla pierwszego samochodzika:
Dla drugiego samochodzika:
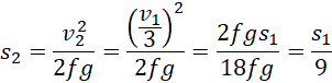
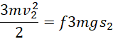
Dążymy do tego, aby znaleźć zależność między drogą przebytą przez pierwszy i drugi samochodzik. Na początku zapisujemy zasadę zachowania pędu, na podstawie której wyznaczmy zależność prędkości samochodziku drugiego od pierwszego na początku ruchu. Następnie zapisujemy zasadę zachowania energii mechanicznej dla pierwszego samochodziku, wiedząc, że jego energia kinetyczna została przekształcona w pracę siły tarcia. Na koniec zapisujemy jeszcze raz tą zasadę, tym razem dla drugiego samochodu i wyznaczamy szukaną zmienną.