W tym zadaniu należy obliczyć SEM indukcji oraz ładunek, jaki przepłynął przez galwanometr w określonym czasie.
Badanie ładunku galwanometru (n=1):
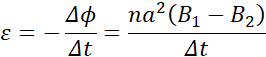
W celu obliczenia SEM indukcji postępuję standardowym schematem, gdzie najpierw liczę zmianę strumienia indukcji dla dwóch wartości indukcji pola magnetycznego (dla całej cewki, tak więc pole jednego kwadratu (a2) mnożę przez liczbę zwojów, ostatecznie podstawiam zmianę do definicyjnego wzoru prawa indukcji Faradaya i wprost z tego wyliczam SEM indukcji.
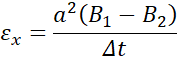
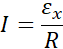
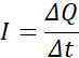
Kiedy zajmuję się galwanometrem, muszę ograniczyć się do jednej kwadratowej ramki, tak więc (n = 1). Korzystam z reprezentacji natężenia z prawa Ohma, które ma w użyciu SEM indukcji jednej ramki, a to znowu przedstawiam, modyfikując SEM indukcji całej cewki o n = 1. Natężenie przedstawiam również z definicji jako iloraz zmiany ładunku i czasu. Porównuję obydwie reprezentacje i wyznaczam zmianę ładunku.
Zadanie 15.1.2
271Zadanie 15.1.12
274Zadanie 15.1.17
275Zadanie 15.1.20
276Zadanie 15.2.1
280Zadanie 15.2.5
280Zadanie 15.2.6
280Zadanie 15.2.8
281Zadanie 15.2.9
281Zadanie 15.3.5
287Zadanie 15.3.6
287Zadanie 15.4.5
293Zadanie 15.4.9
294Zadanie 15.4.15
295Zadanie 15.5.1
301Zadanie 15.5.7
302Zadanie 15.5.8
303Zadanie 15.5.15
304Zadanie 15.6.2
308Zadanie 15.6.3
308Zadanie 15.6.4
308Zadanie 15.6.8
310Zadanie 15.6.12
311Zadanie 15.7.3
317Zadanie 15.7.6
318Zadanie 15.7.10
320Zadanie 1 – Transformator
325Zadanie 3 – Magnes sztabkowy
326Zadanie 4 – Doświadczenie z transformatorem
326