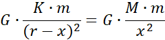
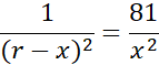
W tym zadaniu musisz podać miejsce, gdzie powinno znajdować się ciało.
Siły przyciągania muszą się równoważyć:
Siła oddziaływania grawitacyjnego:
Gdzie:
G – stała grawitacji, M, m – masy ciał, r – odległość między środkami masy ciał
Ćwiczenie 4.1.
Ćwiczenie 4.2.
Ćwiczenie 4.3.
Ćwiczenie 4.4.
Ćwiczenie 4.5.
Ćwiczenie 4.6.
Ćwiczenie 4.7.
Podpunkt a)
Podpunkt b)
Ćwiczenie 4.8.
Ćwiczenie 4.9.
Ćwiczenie 4.10.
Podpunkt c)
Ćwiczenie 4.11.
Ćwiczenie 4.12.
Ćwiczenie 4.13.
Ćwiczenie 4.14.
Ćwiczenie 4.15.
Ćwiczenie 4.16.
Ćwiczenie 4.17.
Ćwiczenie 4.18.
Ćwiczenie 4.19.
Ćwiczenie 4.20.
Ćwiczenie 4.21.
Ćwiczenie 4.22.
Ćwiczenie 4.23.
Ćwiczenie 4.24.
Ćwiczenie 4.25.
Ćwiczenie 4.26.
Ćwiczenie 4.27.
Ćwiczenie 4.28.
Ćwiczenie 4.29.
Ćwiczenie 4.30.
Ćwiczenie 4.31.
Podpunkt d)
Ćwiczenie 4.32.
Ćwiczenie 4.33.
Ćwiczenie 4.34.
Ćwiczenie 4.35.
Ćwiczenie 4.36.
Ćwiczenie 4.37.
Ćwiczenie 4.38.
Ćwiczenie 4.39.
Ćwiczenie 4.40.
Ćwiczenie 4.41.
Ćwiczenie 4.42.
Ćwiczenie 4.43.
Ćwiczenie 4.44.
Ćwiczenie 4.45.
Ćwiczenie 4.46.
Ćwiczenie 4.47.
Ćwiczenie 4.48.
Ćwiczenie 4.49.
Ćwiczenie 4.50.
Ćwiczenie 4.51.
Ćwiczenie 4.52.
Ćwiczenie 4.53.
Ćwiczenie 4.54.
Ćwiczenie 4.55.
Ćwiczenie 4.56.
Ćwiczenie 4.57.
Ćwiczenie 4.58.
Ćwiczenie 4.59.
Ćwiczenie 4.60.
Ćwiczenie 4.61.
Ćwiczenie 4.62.
Ćwiczenie 4.63.
Ćwiczenie 4.64.
Ćwiczenie 4.65.
Ćwiczenie 4.66.
Ćwiczenie 4.67.
Ćwiczenie 4.68.
Ćwiczenie 4.69.
Ćwiczenie 4.70.