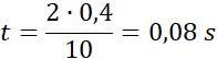
W tym zadaniu musisz obliczyć przeciążenie.
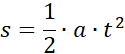
Droga w ruchu przyspieszonym:
Gdzie:
a – przyspieszenie, t - czas
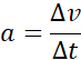
Przyspieszenie:
v- prędkość, t - czas
Ćwiczenie 4.1.
Ćwiczenie 4.2.
Ćwiczenie 4.3.
Ćwiczenie 4.4.
Ćwiczenie 4.5.
Ćwiczenie 4.6.
Ćwiczenie 4.7.
Podpunkt a)
Podpunkt b)
Ćwiczenie 4.8.
Ćwiczenie 4.9.
Ćwiczenie 4.10.
Podpunkt c)
Ćwiczenie 4.11.
Ćwiczenie 4.12.
Ćwiczenie 4.13.
Ćwiczenie 4.14.
Ćwiczenie 4.15.
Ćwiczenie 4.16.
Ćwiczenie 4.17.
Ćwiczenie 4.18.
Ćwiczenie 4.19.
Ćwiczenie 4.20.
Ćwiczenie 4.21.
Ćwiczenie 4.22.
Ćwiczenie 4.23.
Ćwiczenie 4.24.
Ćwiczenie 4.25.
Ćwiczenie 4.26.
Ćwiczenie 4.27.
Ćwiczenie 4.28.
Ćwiczenie 4.29.
Ćwiczenie 4.30.
Ćwiczenie 4.31.
Podpunkt d)
Ćwiczenie 4.32.
Ćwiczenie 4.33.
Ćwiczenie 4.34.
Ćwiczenie 4.35.
Ćwiczenie 4.36.
Ćwiczenie 4.37.
Ćwiczenie 4.38.
Ćwiczenie 4.39.
Ćwiczenie 4.40.
Ćwiczenie 4.41.
Ćwiczenie 4.42.
Ćwiczenie 4.43.
Ćwiczenie 4.44.
Ćwiczenie 4.45.
Ćwiczenie 4.46.
Ćwiczenie 4.47.
Ćwiczenie 4.48.
Ćwiczenie 4.49.
Ćwiczenie 4.50.
Ćwiczenie 4.51.
Ćwiczenie 4.52.
Ćwiczenie 4.53.
Ćwiczenie 4.54.
Ćwiczenie 4.55.
Ćwiczenie 4.56.
Ćwiczenie 4.57.
Ćwiczenie 4.58.
Ćwiczenie 4.59.
Ćwiczenie 4.60.
Ćwiczenie 4.61.
Ćwiczenie 4.62.
Ćwiczenie 4.63.
Ćwiczenie 4.64.
Ćwiczenie 4.65.
Ćwiczenie 4.66.
Ćwiczenie 4.67.
Ćwiczenie 4.68.
Ćwiczenie 4.69.
Ćwiczenie 4.70.