Prędkość:
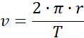
Prędkość w ruchu po okręgu:
Gdzie:
T – okres, r – promień
800 km/h = 222,2 m/s
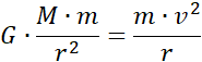
Siła oddziaływania grawitacyjnego:
Gdzie:
G – stała grawitacji, M, m – masy ciał, r – odległość między środkami masy ciał
Siła ciężkości:
Gdzie:
m – masa, a - przyspieszenie
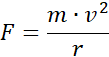
Siła dośrodkowa:
Gdzie:
m – masa, v – prędkość, r – promień okręgu