Środek masy układu znajduje się 1/3 r od cięższej gwiazdy.
Okres ich obiegu wynosi tyle samo:
Prędkość cięższej gwiazdy:
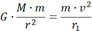
Siła odśrodkowa = sile przyciągania się gwiazd ze sobą
Siła grawitacji:
Gdzie:
m – masa, g – przyspieszenie ziemskie
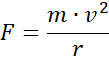
Siła dośrodkowa:
Gdzie:
m – masa, v – prędkość, r – promień okręgu
Prędkość w ruchu po okręgu:
Gdzie:
T – okres, r – promień okręgu
Siła oddziaływania grawitacyjnego:
Gdzie:
G – stała grawitacji, M, m – masy ciał, r – odległość między środkami masy ciał