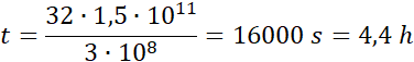
W tym zadaniu musisz obliczyć czas dotarcia sygnału.
Sygnał świetlny w próżni porusz się z prędkością światła.
Prędkość światła w próżni:
Ćwiczenie 4.1.
Ćwiczenie 4.2.
Ćwiczenie 4.3.
Ćwiczenie 4.4.
Ćwiczenie 4.5.
Ćwiczenie 4.6.
Ćwiczenie 4.7.
Podpunkt a)
Podpunkt b)
Ćwiczenie 4.8.
Ćwiczenie 4.9.
Ćwiczenie 4.10.
Podpunkt c)
Ćwiczenie 4.11.
Ćwiczenie 4.12.
Ćwiczenie 4.13.
Ćwiczenie 4.14.
Ćwiczenie 4.15.
Ćwiczenie 4.16.
Ćwiczenie 4.17.
Ćwiczenie 4.18.
Ćwiczenie 4.19.
Ćwiczenie 4.20.
Ćwiczenie 4.21.
Ćwiczenie 4.22.
Ćwiczenie 4.23.
Ćwiczenie 4.24.
Ćwiczenie 4.25.
Ćwiczenie 4.26.
Ćwiczenie 4.27.
Ćwiczenie 4.28.
Ćwiczenie 4.29.
Ćwiczenie 4.30.
Ćwiczenie 4.31.
Podpunkt d)
Ćwiczenie 4.32.
Ćwiczenie 4.33.
Ćwiczenie 4.34.
Ćwiczenie 4.35.
Ćwiczenie 4.36.
Ćwiczenie 4.37.
Ćwiczenie 4.38.
Ćwiczenie 4.39.
Ćwiczenie 4.40.
Ćwiczenie 4.41.
Ćwiczenie 4.42.
Ćwiczenie 4.43.
Ćwiczenie 4.44.
Ćwiczenie 4.45.
Ćwiczenie 4.46.
Ćwiczenie 4.47.
Ćwiczenie 4.48.
Ćwiczenie 4.49.
Ćwiczenie 4.50.
Ćwiczenie 4.51.
Ćwiczenie 4.52.
Ćwiczenie 4.53.
Ćwiczenie 4.54.
Ćwiczenie 4.55.
Ćwiczenie 4.56.
Ćwiczenie 4.57.
Ćwiczenie 4.58.
Ćwiczenie 4.59.
Ćwiczenie 4.60.
Ćwiczenie 4.61.
Ćwiczenie 4.62.
Ćwiczenie 4.63.
Ćwiczenie 4.64.
Ćwiczenie 4.65.
Ćwiczenie 4.66.
Ćwiczenie 4.67.
Ćwiczenie 4.68.
Ćwiczenie 4.69.
Ćwiczenie 4.70.