Siła grawitacji:
Gdzie:
m – masa, g – przyspieszenie ziemskie
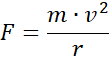
Siła dośrodkowa:
Gdzie:
m – masa, v – prędkość, r – promień okręgu
Prędkość w ruchu po okręgu:
Gdzie:
T – okres, r – promień okręgu
Aby człowiek się nie osuwał siła grawitacji musi się równać sile tarcia.