DANE:
SZUKANE:
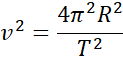
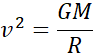
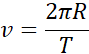
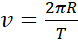
WZÓR:
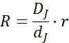
Wyznaczamy promień orbity:
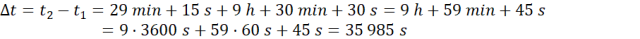
Wyznaczamy okres obiegu:
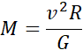
Wyznaczamy masę planety:
Promień orbity R wyznacz z proporcji, na podstawie danych odczytanych z rysunku, gdzie DJ – średnica Jowisza, dJ – średnica Jowisza na rysunku, r – promień orbity na rysunku.
Okres obiegu Io T oblicz, wiedząc, że jest on równy czterokrotności różnicy czasu ∆t między podanymi datami, ponieważ wówczas przebyło ono drogę od tarczy do najdalszego położenia od planety.
Masę Jowisza M oblicz, korzystając ze wzoru