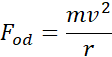
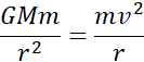
W tym zadaniu siła grawitacji działająca pomiędzy górą lodową i statkiem musi być równa sile odśrodkowej działającej na statek.
Siła oddziaływania grawitacyjnego:
Gdzie:
G – stała grawitacji, M, m – masy ciał, r – odległość między środkami masy ciał