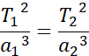
Z prawa Keplera:
Gdzie a jest wielką półosią elipsy – czyli połowa dłuższej półosi elipsy. Półoś jest związana z odległością planety od Słońca.
Trzecie prawo Keplera: okresy obiegu planet są proporcjonalne do trzeciej potęgi półosi wielkiej elipsy, po której poruszają się planety.
To, że planety poruszają się po elipsach, wynika z pierwszego prawa Keplera.