W tym zadaniu musisz wykonać rysunek i zaznaczyć prędkości punktów.
Spróbuj sam wykonać to zadanie.
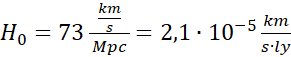
Prawo Hubble’a:
Gdzie:
Ćwiczenie 4.1.
Ćwiczenie 4.2.
Ćwiczenie 4.3.
Ćwiczenie 4.4.
Ćwiczenie 4.5.
Ćwiczenie 4.6.
Ćwiczenie 4.7.
Podpunkt a)
Podpunkt b)
Ćwiczenie 4.8.
Ćwiczenie 4.9.
Ćwiczenie 4.10.
Podpunkt c)
Ćwiczenie 4.11.
Ćwiczenie 4.12.
Ćwiczenie 4.13.
Ćwiczenie 4.14.
Ćwiczenie 4.15.
Ćwiczenie 4.16.
Ćwiczenie 4.17.
Ćwiczenie 4.18.
Ćwiczenie 4.19.
Ćwiczenie 4.20.
Ćwiczenie 4.21.
Ćwiczenie 4.22.
Ćwiczenie 4.23.
Ćwiczenie 4.24.
Ćwiczenie 4.25.
Ćwiczenie 4.26.
Ćwiczenie 4.27.
Ćwiczenie 4.28.
Ćwiczenie 4.29.
Ćwiczenie 4.30.
Ćwiczenie 4.31.
Podpunkt d)
Ćwiczenie 4.32.
Ćwiczenie 4.33.
Ćwiczenie 4.34.
Ćwiczenie 4.35.
Ćwiczenie 4.36.
Ćwiczenie 4.37.
Ćwiczenie 4.38.
Ćwiczenie 4.39.
Ćwiczenie 4.40.
Ćwiczenie 4.41.
Ćwiczenie 4.42.
Ćwiczenie 4.43.
Ćwiczenie 4.44.
Ćwiczenie 4.45.
Ćwiczenie 4.46.
Ćwiczenie 4.47.
Ćwiczenie 4.48.
Ćwiczenie 4.49.
Ćwiczenie 4.50.
Ćwiczenie 4.51.
Ćwiczenie 4.52.
Ćwiczenie 4.53.
Ćwiczenie 4.54.
Ćwiczenie 4.55.
Ćwiczenie 4.56.
Ćwiczenie 4.57.
Ćwiczenie 4.58.
Ćwiczenie 4.59.
Ćwiczenie 4.60.
Ćwiczenie 4.61.
Ćwiczenie 4.62.
Ćwiczenie 4.63.
Ćwiczenie 4.64.
Ćwiczenie 4.65.
Ćwiczenie 4.66.
Ćwiczenie 4.67.
Ćwiczenie 4.68.
Ćwiczenie 4.69.
Ćwiczenie 4.70.