W tym zadaniu musisz oszacować masę ciała niebieskiego.
800 km/h = 222,2 m/s
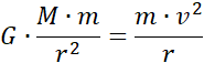
Siła oddziaływania grawitacyjnego:
Gdzie:
G – stała grawitacji, M, m – masy ciał, r – odległość między środkami masy ciał
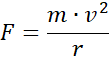
Siła dośrodkowa:
m – masa, v – prędkość, r – promień orbity
Ćwiczenie 4.1.
Ćwiczenie 4.2.
Ćwiczenie 4.3.
Ćwiczenie 4.4.
Ćwiczenie 4.5.
Ćwiczenie 4.6.
Ćwiczenie 4.7.
Podpunkt a)
Podpunkt b)
Ćwiczenie 4.8.
Ćwiczenie 4.9.
Ćwiczenie 4.10.
Podpunkt c)
Ćwiczenie 4.11.
Ćwiczenie 4.12.
Ćwiczenie 4.13.
Ćwiczenie 4.14.
Ćwiczenie 4.15.
Ćwiczenie 4.16.
Ćwiczenie 4.17.
Ćwiczenie 4.18.
Ćwiczenie 4.19.
Ćwiczenie 4.20.
Ćwiczenie 4.21.
Ćwiczenie 4.22.
Ćwiczenie 4.23.
Ćwiczenie 4.24.
Ćwiczenie 4.25.
Ćwiczenie 4.26.
Ćwiczenie 4.27.
Ćwiczenie 4.28.
Ćwiczenie 4.29.
Ćwiczenie 4.30.
Ćwiczenie 4.31.
Podpunkt d)
Ćwiczenie 4.32.
Ćwiczenie 4.33.
Ćwiczenie 4.34.
Ćwiczenie 4.35.
Ćwiczenie 4.36.
Ćwiczenie 4.37.
Ćwiczenie 4.38.
Ćwiczenie 4.39.
Ćwiczenie 4.40.
Ćwiczenie 4.41.
Ćwiczenie 4.42.
Ćwiczenie 4.43.
Ćwiczenie 4.44.
Ćwiczenie 4.45.
Ćwiczenie 4.46.
Ćwiczenie 4.47.
Ćwiczenie 4.48.
Ćwiczenie 4.49.
Ćwiczenie 4.50.
Ćwiczenie 4.51.
Ćwiczenie 4.52.
Ćwiczenie 4.53.
Ćwiczenie 4.54.
Ćwiczenie 4.55.
Ćwiczenie 4.56.
Ćwiczenie 4.57.
Ćwiczenie 4.58.
Ćwiczenie 4.59.
Ćwiczenie 4.60.
Ćwiczenie 4.61.
Ćwiczenie 4.62.
Ćwiczenie 4.63.
Ćwiczenie 4.64.
Ćwiczenie 4.65.
Ćwiczenie 4.66.
Ćwiczenie 4.67.
Ćwiczenie 4.68.
Ćwiczenie 4.69.
Ćwiczenie 4.70.