Dzielimy stronami:
Potrzebne dane:
Promień Marsa: 3 389,5 km
Okres obrotu planety: 1,025 dnia
Przyspieszenie: 3,7 m/s2
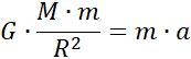
Siła oddziaływania grawitacyjnego:
Gdzie:
G – stała grawitacji, M, m – masy ciał, r – odległość między środkami masy ciał
Siła ciężkości:
Gdzie:
m – masa, a - przyspieszenie
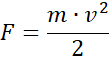
Siła dośrodkowa:
Gdzie:
m – masa, v - prędkość
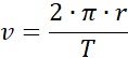
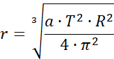
Prędkość w ruchu po okręgu:
Gdzie:
T – okres, r – promień okręgu