W tym zadaniu musisz odczytać temperaturę gwiazd dla danego typu widmowego, a następnie określić jej maksymalną wartość. Porównaj częstotliwości emitowanych fal elektromagnetycznych przez gwiazdy dla maksimum natężenia promieniowania.
Maksymalna wartość gwiazd typu M wynosi
Maksymalna temperatura gwiazd typu A wynosi
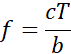
Odpowiadające im maksymalne częstotliwości promieniowania elektromagnetycznego:
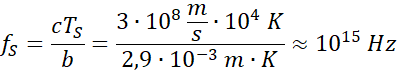
- Dla Betelgezy:
- Dla Syriusza:
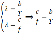
Maksymalne częstotliwości promieniowania wyznacz z prawa Wiena po przekształceniu:
Stąd:
Zadanie 8.
146Zadanie 13.
147Zadanie 14.
147Zadanie 16.
148Zadanie 4.
155Zadanie 13.
156Zadanie 14.
156Zadanie 17.
157Zadanie 1.
162Zadanie 5.
163Zadanie 20.
167Zadanie 21.
168Zadanie 2.
174Zadanie 3.
175Zadanie 5.
175Zadanie 10.
176Zadanie 22.
178Zadanie 2.
181Zadanie 6.
181Zadanie 1.
186Zadanie 3.
187Zadanie 11.
189Zadanie 13.
189Zadanie 17.
190Zadanie 1.
194Zadanie 2.
194Zadanie 3.
195