W tym zadaniu musisz wyznaczyć szybkość elektronów uderzających w anodę, posługując się kinematyką relatywistyczną.
Zapiszmy wyrażenie na relatywistyczną energię elektronu, jako:
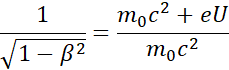
Gamma to tzw. czynnik Lorentza, który jest zdefiniowany jako:
Wtedy:
Elektrony uzyskują energię kinetyczną dzięki napięciu przyspieszającemu, zatem:
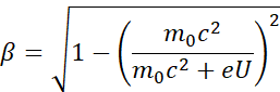
Wyznaczamy następnie
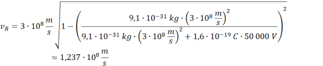
Wstawiając wartości liczbowe:
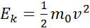
Wykonując obliczenia w ramach mechaniki klasycznej:
Z drugiej strony
Porównując:
Wyjaśnienie:
Pamiętaj, iż jeśli obiekt porusza się z szybkościami porównywalnymi z szybkością światła w próżni (lub jeśli
Zadanie 8.
146Zadanie 13.
147Zadanie 14.
147Zadanie 16.
148Zadanie 4.
155Zadanie 13.
156Zadanie 14.
156Zadanie 17.
157Zadanie 1.
162Zadanie 5.
163Zadanie 20.
167Zadanie 21.
168Zadanie 2.
174Zadanie 3.
175Zadanie 5.
175Zadanie 10.
176Zadanie 22.
178Zadanie 2.
181Zadanie 6.
181Zadanie 1.
186Zadanie 3.
187Zadanie 11.
189Zadanie 13.
189Zadanie 17.
190Zadanie 1.
194Zadanie 2.
194Zadanie 3.
195