W tym zadaniu musisz uzupełnić zdania, wpisując poprawne numery orbit elektronowych.
Atom wodoru zaabsorbował falę elektromagnetyczną o długości
Wyjaśnienie:
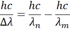
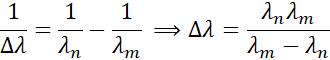
Wyznacz poszukiwane numery orbit, korzystając z warunku na energię fotonu przy przejściu promienistym:
Zauważ, iż:
Różnica ta odpowiadać będzie długości fali wyemitowanego fotonu.
Zadanie 8.
146Zadanie 13.
147Zadanie 14.
147Zadanie 16.
148Zadanie 4.
155Zadanie 13.
156Zadanie 14.
156Zadanie 17.
157Zadanie 1.
162Zadanie 5.
163Zadanie 20.
167Zadanie 21.
168Zadanie 2.
174Zadanie 3.
175Zadanie 5.
175Zadanie 10.
176Zadanie 22.
178Zadanie 2.
181Zadanie 6.
181Zadanie 1.
186Zadanie 3.
187Zadanie 11.
189Zadanie 13.
189Zadanie 17.
190Zadanie 1.
194Zadanie 2.
194Zadanie 3.
195