W tym zadaniu musisz wyznaczyć graniczną długość fali promieniowania hamowania.
Wyjaśnienie:
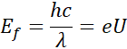
Energia kinetyczna wzrasta dzięki oddziaływaniu z polem elektrycznym:
Całość tej energii kinetycznej jest emitowana w postaci kwantu promieniowania elektromagnetycznego:
Przyrównując lewe strony otrzymasz wyrażenie na długość fali.
Zadanie 8.
146Zadanie 13.
147Zadanie 14.
147Zadanie 16.
148Zadanie 4.
155Zadanie 13.
156Zadanie 14.
156Zadanie 17.
157Zadanie 1.
162Zadanie 5.
163Zadanie 20.
167Zadanie 21.
168Zadanie 2.
174Zadanie 3.
175Zadanie 5.
175Zadanie 10.
176Zadanie 22.
178Zadanie 2.
181Zadanie 6.
181Zadanie 1.
186Zadanie 3.
187Zadanie 11.
189Zadanie 13.
189Zadanie 17.
190Zadanie 1.
194Zadanie 2.
194Zadanie 3.
195