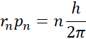
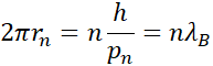
W tym zadaniu musisz udowodnić równoważność modelu atomu wodoru Bohra i modelu falowego.
Wychodząc od kwantowego postulatu Bohra:
Klasycznie moment pędu:
Stąd oba modele są równoważne.
Wyjaśnienie:
Dowód ten pokazuje, iż za pomocą dwóch różnych modeli można uzyskać te same własności fizyczne obiektów.
Zadanie 8.
146Zadanie 13.
147Zadanie 14.
147Zadanie 16.
148Zadanie 4.
155Zadanie 13.
156Zadanie 14.
156Zadanie 17.
157Zadanie 1.
162Zadanie 5.
163Zadanie 20.
167Zadanie 21.
168Zadanie 2.
174Zadanie 3.
175Zadanie 5.
175Zadanie 10.
176Zadanie 22.
178Zadanie 2.
181Zadanie 6.
181Zadanie 1.
186Zadanie 3.
187Zadanie 11.
189Zadanie 13.
189Zadanie 17.
190Zadanie 1.
194Zadanie 2.
194Zadanie 3.
195