W tym zadaniu musisz wyznaczyć szybkość atomu wodoru.
Z zasady zachowania pędu, pęd początkowy (fotonu) jest równy pędowi końcowemu (atomu wodoru po zaabsorbowaniu fotonu):
l
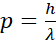
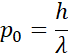
Pęd fotonu:
Pęd atomu wodoru w przybliżeniu nierelatywistycznym:
Podstawiając:
Wstawiamy wartości liczbowe:
Wyjaśnienie:
Skorzystaj z zasady zachowania pędu i definicji fali de Broglie’a
Zadanie 8.
146Zadanie 13.
147Zadanie 14.
147Zadanie 16.
148Zadanie 4.
155Zadanie 13.
156Zadanie 14.
156Zadanie 17.
157Zadanie 1.
162Zadanie 5.
163Zadanie 20.
167Zadanie 21.
168Zadanie 2.
174Zadanie 3.
175Zadanie 5.
175Zadanie 10.
176Zadanie 22.
178Zadanie 2.
181Zadanie 6.
181Zadanie 1.
186Zadanie 3.
187Zadanie 11.
189Zadanie 13.
189Zadanie 17.
190Zadanie 1.
194Zadanie 2.
194Zadanie 3.
195