W tym zadaniu musisz wyznaczyć maksymalne natężenie prądu.
Wprowadzamy
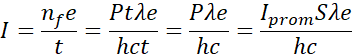
Natężenie promieniowania jest to całkowita moc promieniowania przez jednostkową powierzchnię:
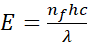
Energia wiązki fotonów to:
Z kolei, z definicji mocy:
Z dwóch ostatnich formuł wynika, iż:
Do wyrażenia na natężenie prądu podstawiamy wyznaczoną moc i natężenie promieniowania:
Podstawiając wartości liczbowe:
Wyjaśnienie:
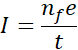
Korzystając z definicji natężenia prądu elektrycznego, zauważ, iż całkowity ładunek Q jest generowany poprzez
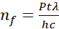
Następnie skorzystaj z definicji mocy promieniowania i rozpisz energię wiązki, jako
Zadanie 8.
146Zadanie 13.
147Zadanie 14.
147Zadanie 16.
148Zadanie 4.
155Zadanie 13.
156Zadanie 14.
156Zadanie 17.
157Zadanie 1.
162Zadanie 5.
163Zadanie 20.
167Zadanie 21.
168Zadanie 2.
174Zadanie 3.
175Zadanie 5.
175Zadanie 10.
176Zadanie 22.
178Zadanie 2.
181Zadanie 6.
181Zadanie 1.
186Zadanie 3.
187Zadanie 11.
189Zadanie 13.
189Zadanie 17.
190Zadanie 1.
194Zadanie 2.
194Zadanie 3.
195