W tym zadaniu musisz ocenić prawdziwość zdań.
1 – Podczas krążenia po dozwolonej orbicie elektron traci energię kinetyczną i atom wodoru promieniuje energię. – Fałsz
2 – Atom w stanie podstawowym ma najmniejszą energię. – Prawda
3 – Atom wodoru może mieć energię
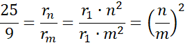
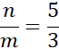
4 – Iloraz długości promieni orbity
Wyjaśnienie:
Zgodnie z teorią półklasyczną (model atomu Bohra), zarówno energie, jak i promienie czy szybkości elektronu są skwantowane (przyjmują tylko dyskretne wartości).
Promienie orbit elektronowych rosną jak kwadrat numeru orbity, zatem:
Stąd:
Zadanie 8.
146Zadanie 13.
147Zadanie 14.
147Zadanie 16.
148Zadanie 4.
155Zadanie 13.
156Zadanie 14.
156Zadanie 17.
157Zadanie 1.
162Zadanie 5.
163Zadanie 20.
167Zadanie 21.
168Zadanie 2.
174Zadanie 3.
175Zadanie 5.
175Zadanie 10.
176Zadanie 22.
178Zadanie 2.
181Zadanie 6.
181Zadanie 1.
186Zadanie 3.
187Zadanie 11.
189Zadanie 13.
189Zadanie 17.
190Zadanie 1.
194Zadanie 2.
194Zadanie 3.
195