W tym zadaniu musisz wyznaczyć wielkość struktur krystalicznych, które mogą być obserwowane.
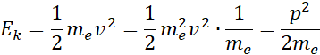
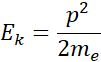
Wyrażamy pęd poprzez energię:
Stąd:
Obliczamy długość fali elektronu dla najmniejszej i największej energii:
Wyjaśnienie:
Zauważ, iż:
Przekształcając ten wzór na pęd, otrzymasz:
To wyrażenie wstaw do definicji fali de Broglie’a.
Zadanie 8.
146Zadanie 13.
147Zadanie 14.
147Zadanie 16.
148Zadanie 4.
155Zadanie 13.
156Zadanie 14.
156Zadanie 17.
157Zadanie 1.
162Zadanie 5.
163Zadanie 20.
167Zadanie 21.
168Zadanie 2.
174Zadanie 3.
175Zadanie 5.
175Zadanie 10.
176Zadanie 22.
178Zadanie 2.
181Zadanie 6.
181Zadanie 1.
186Zadanie 3.
187Zadanie 11.
189Zadanie 13.
189Zadanie 17.
190Zadanie 1.
194Zadanie 2.
194Zadanie 3.
195