W tym zadaniu musisz wyznaczyć długość fali de Broglie'a obiektów z tabeli.
| Elektron | Proton | Mikrometeor | Pocisk | |
| Masa | ||||
| Długość fali de Broglie’a |
Falową naturę możemy zaobserwować tylko dla elektronów i protonów. Długości ich fal są porównywalne z długościami fal elektromagnetycznych. Można zatem przeprowadzić eksperymenty dyfrakcyjne, gdzie ujawni się obraz dyfrakcyjny elektronów lub protonów.
Wyjaśnienie:
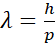
Posłuż się formułą de Broglie’a
Zadanie 8.
146Zadanie 13.
147Zadanie 14.
147Zadanie 16.
148Zadanie 4.
155Zadanie 13.
156Zadanie 14.
156Zadanie 17.
157Zadanie 1.
162Zadanie 5.
163Zadanie 20.
167Zadanie 21.
168Zadanie 2.
174Zadanie 3.
175Zadanie 5.
175Zadanie 10.
176Zadanie 22.
178Zadanie 2.
181Zadanie 6.
181Zadanie 1.
186Zadanie 3.
187Zadanie 11.
189Zadanie 13.
189Zadanie 17.
190Zadanie 1.
194Zadanie 2.
194Zadanie 3.
195