W tym zadaniu musisz wyznaczyć szybkość odrzutu atomu wodoru.
Z zasady zachowania pędu, pęd początkowy (atomu wodoru) jest równy pędowi końcowemu (atomu wodoru po emisji i fotonu):
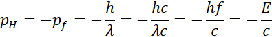
Atom wodoru na początku spoczywa w pewnym układzie, zatem pęd początkowy jest 0. Stąd:
Pęd końcowy składa się z pędu atomu wodoru i fotonu, zatem:
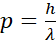
Minus informuje o tym, iż zwroty pędów są przeciwne. Korzystając z hipotezy de Broglie’a:
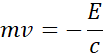
Z przybliżenia klasycznego:
Ostatecznie:
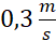
Wartość prędkości to oczywiście
Wyjaśnienie:
Skorzystaj z zasady zachowania pędu i definicji fali de Broglie’a
Zadanie 8.
146Zadanie 13.
147Zadanie 14.
147Zadanie 16.
148Zadanie 4.
155Zadanie 13.
156Zadanie 14.
156Zadanie 17.
157Zadanie 1.
162Zadanie 5.
163Zadanie 20.
167Zadanie 21.
168Zadanie 2.
174Zadanie 3.
175Zadanie 5.
175Zadanie 10.
176Zadanie 22.
178Zadanie 2.
181Zadanie 6.
181Zadanie 1.
186Zadanie 3.
187Zadanie 11.
189Zadanie 13.
189Zadanie 17.
190Zadanie 1.
194Zadanie 2.
194Zadanie 3.
195