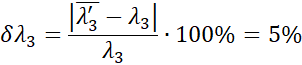
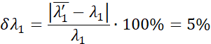
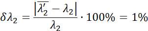
W tym zadaniu musisz wyznaczyć błąd względny.
Oznaczmy średnią wyników doświadczalnych jako
Dla odpowiednio
Wyjaśnienie:
Posłuż się definicją błędu względnego, gdzie za wartość dokładną wstaw wyznaczoną wartość teoretyczną.
Zadanie 8.
146Zadanie 13.
147Zadanie 14.
147Zadanie 16.
148Zadanie 4.
155Zadanie 13.
156Zadanie 14.
156Zadanie 17.
157Zadanie 1.
162Zadanie 5.
163Zadanie 20.
167Zadanie 21.
168Zadanie 2.
174Zadanie 3.
175Zadanie 5.
175Zadanie 10.
176Zadanie 22.
178Zadanie 2.
181Zadanie 6.
181Zadanie 1.
186Zadanie 3.
187Zadanie 11.
189Zadanie 13.
189Zadanie 17.
190Zadanie 1.
194Zadanie 2.
194Zadanie 3.
195