W tym zadaniu musisz wyznaczyć minimalne napięcie przyspieszające.
Wyjaśnienie:
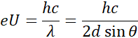
Z warunku Bragga:
Im większe n, tym mniejsza długość fali. Zatem dla większych kątów ugięcia energia promieniowania emitowanego z atomów jest większa, bo im mniejsza długość fali, tym większa częstotliwość, a co za tym idzie – energia. Dla pierwszego wzmocnienia otrzymujesz zatem minimalne napięcie przyspieszające:
Wyznacz stąd napięcie.
Zadanie 8.
146Zadanie 13.
147Zadanie 14.
147Zadanie 16.
148Zadanie 4.
155Zadanie 13.
156Zadanie 14.
156Zadanie 17.
157Zadanie 1.
162Zadanie 5.
163Zadanie 20.
167Zadanie 21.
168Zadanie 2.
174Zadanie 3.
175Zadanie 5.
175Zadanie 10.
176Zadanie 22.
178Zadanie 2.
181Zadanie 6.
181Zadanie 1.
186Zadanie 3.
187Zadanie 11.
189Zadanie 13.
189Zadanie 17.
190Zadanie 1.
194Zadanie 2.
194Zadanie 3.
195