W tym zadaniu musisz wyznaczyć wartość stałej Planca, posługując się wynikami eksperymentu.
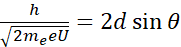
Warunek Bragga dla stałej sieci krystalicznej
Kąt
Zamieniając stałą siatki na odległość międzypłaszczyznową
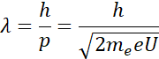
Wyrażając długość fali poprzez pęd, a ten poprzez napięcie przyspieszające, mamy:
gdyż
Podany kąt otrzymano dla pierwszego wzmocnienia, zatem
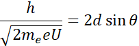
Podstawiając:
Błąd względny:
Wyjaśnienie:
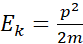
Zauważ, iż energia kinetyczna jest równa pracy wykonanej przez pole elektryczne:
Wyraź energię kinetyczną jako
Tak wyrażony pęd wstaw do definicji fali de Broglie’a. Do warunku Bragga
Przekształcając wyrażenie
Zadanie 8.
146Zadanie 13.
147Zadanie 14.
147Zadanie 16.
148Zadanie 4.
155Zadanie 13.
156Zadanie 14.
156Zadanie 17.
157Zadanie 1.
162Zadanie 5.
163Zadanie 20.
167Zadanie 21.
168Zadanie 2.
174Zadanie 3.
175Zadanie 5.
175Zadanie 10.
176Zadanie 22.
178Zadanie 2.
181Zadanie 6.
181Zadanie 1.
186Zadanie 3.
187Zadanie 11.
189Zadanie 13.
189Zadanie 17.
190Zadanie 1.
194Zadanie 2.
194Zadanie 3.
195