W tym zadaniu musisz wyznaczyć długości fal dla podanych napięć przyspieszających.
Zatem:
Wyjaśnienie:
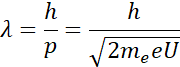
Zauważ, iż energia kinetyczna jest równa pracy wykonanej przez pole elektryczne:
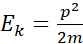
Wyraź energię kinetyczną jako
Tak wyrażony pęd wstaw do definicji fali de Broglie’a.
Zadanie 8.
146Zadanie 13.
147Zadanie 14.
147Zadanie 16.
148Zadanie 4.
155Zadanie 13.
156Zadanie 14.
156Zadanie 17.
157Zadanie 1.
162Zadanie 5.
163Zadanie 20.
167Zadanie 21.
168Zadanie 2.
174Zadanie 3.
175Zadanie 5.
175Zadanie 10.
176Zadanie 22.
178Zadanie 2.
181Zadanie 6.
181Zadanie 1.
186Zadanie 3.
187Zadanie 11.
189Zadanie 13.
189Zadanie 17.
190Zadanie 1.
194Zadanie 2.
194Zadanie 3.
195