Na podstawie danych zawartych w treści zadania oblicz pracę wykonaną przez tatę ciągnącego sanki.
Rozwiązanie
Wyjaśnienie
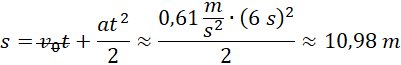
Na początku obliczamy przyspieszenie sanek, korzystając ze wzoru na siłę wypadkową na kierunku x. Następnie obliczamy drogę przebytą przez sanki w ciągu 6 s. Na koniec obliczamy pracę wykonaną przez tatę.