Dane:
h = 300 m
t = 1 min = 60 s
V = 5 m3
d = 1000
η = 90% = 0,9
masa wody wypompowanej w ciągu 1 minuty to:
Praca, jaką wykona w ciągu 1 minuty pompa to przyrost energii potencjalnej wody:
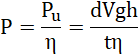
Moc użyteczna silnika pompy wynosi:
Odpowiedź: Moc silnika pompy to 272,5 kW.
Pamiętaj, praca jest równa przyrostowi energii mechanicznej wody (woda podnosi się do góry, więc zmianie ulega tylko energia potencjalna). Masę wody otrzymasz, mnożąc objętość i gęstość wody. Z treści zadania wiesz, że pompa nie wykorzystuje całej swojej mocy do pracy, dzieląc więc otrzymaną pracę przez czas, poznasz moc użyteczną urządzenia – moc silnika uzyskasz, dzieląc otrzymany wynik przez sprawność pompy.