Oblicz siłę wyporu, która działa na kulę.
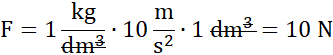
Siła wyporu:
C. 10 N
Wykorzystaj wzór na siłę wyporu:
gdzie F – siła wyporu [N],
d – gęstość cieczy lub gazu
V – objętość zanurzonego ciała [m3]. Siła wyporu nie zależy od masy ciała.
Ćwiczenie 3.
161Ćwiczenie 5.
163Ćwiczenie 7.
164Ćwiczenie 2.
167Ćwiczenie 7.
171Zadanie 7.
173Zadanie 5.
180Zadanie 6.
180Zadanie 7.
180Ćwiczenie 1.
184Ćwiczenie 2.
185Ćwiczenie 3.
188Zadanie 5.
188Ćwiczenie 1.
190Ćwiczenie 3.
191Zadanie 4.
194Zadanie 5.
194Zadanie 2.
196Zadanie 3.
196Zadanie 7.
197Zadanie 9.
198Zadanie 10.
198Zadanie 11.
199Zadanie 12.
199Ćwiczenie 1.
201Ćwiczenie 2.
201Ćwiczenie 3.
202Ćwiczenie 4.
202Ćwiczenie 6.
202Ćwiczenie 8.
203Ćwiczenie 9.
203