Określ, jak wyznaczyć gęstość ciała, mając naczynie z wodą i siłomierz.
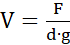
Zmierz siłomierzem ciężar ciała. Następnie włóż ciało do wody i zmierz jego ciężar w wodzie. Odejmij od siebie obie wartości i otrzymasz siłę wyporu. W celu obliczenia objętości ciała wykorzystaj wzór:
gdzie F – siła wyporu [N],
d – gęstość cieczy lub gazu
V – objętość zanurzonego ciała (równa objętości wypartej wody) [m3].
g – przyspieszenie ziemskie [
By obliczyć masę ciała, użyj wzoru:
gdzie m – masa [kg],
Q – ciężar zmierzony siłomierzem[N],
Znając masę i objętość możemy policzyć gęstość:
gdzie d – gęstość
m – masa [kg],
V – objętość [m3].
Jeśli wiemy, z jakiej substancji zostało zrobione ciało, to jego gęstość możemy odczytać z tablic.
Ćwiczenie 3.
161Ćwiczenie 5.
163Ćwiczenie 7.
164Ćwiczenie 2.
167Ćwiczenie 7.
171Zadanie 7.
173Zadanie 5.
180Zadanie 6.
180Zadanie 7.
180Ćwiczenie 1.
184Ćwiczenie 2.
185Ćwiczenie 3.
188Zadanie 5.
188Ćwiczenie 1.
190Ćwiczenie 3.
191Zadanie 4.
194Zadanie 5.
194Zadanie 2.
196Zadanie 3.
196Zadanie 7.
197Zadanie 9.
198Zadanie 10.
198Zadanie 11.
199Zadanie 12.
199Ćwiczenie 1.
201Ćwiczenie 2.
201Ćwiczenie 3.
202Ćwiczenie 4.
202Ćwiczenie 6.
202Ćwiczenie 8.
203Ćwiczenie 9.
203