Określ, jak wyznaczyć objętość ciała, mając naczynie z wodą i siłomierz.
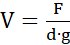
Zmierz siłomierzem ciężar ciała. Następnie włóż ciało do wody i zmierz jego ciężar w wodzie. Odejmij od siebie obie wartości i otrzymasz siłę wyporu. W celu obliczenia objętości ciała wykorzystaj wzór:
gdzie F – siła wyporu [N],
d – gęstość cieczy lub gazu
V – objętość zanurzonego ciała (równa objętości wypartej wody) [m3].
g – przyspieszenie ziemskie [
Innym sposobem na wyznaczenie objętości jest zważenie substancji i sprawdzenie gęstości substancji, z jakiego zostało wykonane ciała. Należy podzielić przez siebie masę i gęstość, by otrzymać objętość.
Ćwiczenie 3.
161Ćwiczenie 5.
163Ćwiczenie 7.
164Ćwiczenie 2.
167Ćwiczenie 7.
171Zadanie 7.
173Zadanie 5.
180Zadanie 6.
180Zadanie 7.
180Ćwiczenie 1.
184Ćwiczenie 2.
185Ćwiczenie 3.
188Zadanie 5.
188Ćwiczenie 1.
190Ćwiczenie 3.
191Zadanie 4.
194Zadanie 5.
194Zadanie 2.
196Zadanie 3.
196Zadanie 7.
197Zadanie 9.
198Zadanie 10.
198Zadanie 11.
199Zadanie 12.
199Ćwiczenie 1.
201Ćwiczenie 2.
201Ćwiczenie 3.
202Ćwiczenie 4.
202Ćwiczenie 6.
202Ćwiczenie 8.
203Ćwiczenie 9.
203