Oblicz, o ile niższe ciśnienie znajduje się na czubku głowy (0,5 m powyżej serca) niż po wyjściu z serca.
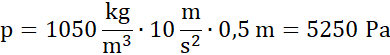
Ciśnienie:
Ciśnienie:
Na czubku głowy jest o 39,47 mm Hg niższe ciśnienie krwi niż przy wyjściu z serca.
Wzór na ciśnienie cieczy ma postać:
gdzie p – ciśnienie [Pa],
d – gęstość cieczy [
g – przyspieszenie ziemskie [
h – głębokość cieczy [m].
Zauważ, że jeden milimetr słupka rtęci ma 133 Pa.
Ćwiczenie 3.
161Ćwiczenie 5.
163Ćwiczenie 7.
164Ćwiczenie 2.
167Ćwiczenie 7.
171Zadanie 7.
173Zadanie 5.
180Zadanie 6.
180Zadanie 7.
180Ćwiczenie 1.
184Ćwiczenie 2.
185Ćwiczenie 3.
188Zadanie 5.
188Ćwiczenie 1.
190Ćwiczenie 3.
191Zadanie 4.
194Zadanie 5.
194Zadanie 2.
196Zadanie 3.
196Zadanie 7.
197Zadanie 9.
198Zadanie 10.
198Zadanie 11.
199Zadanie 12.
199Ćwiczenie 1.
201Ćwiczenie 2.
201Ćwiczenie 3.
202Ćwiczenie 4.
202Ćwiczenie 6.
202Ćwiczenie 8.
203Ćwiczenie 9.
203