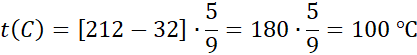
Podaj temperaturę 212 °F w Celsjuszach.
By przeliczyć temperaturę ze stopni Fahrenheita na Celsjusza, zastosuj wzór:
gdzie t(F) – temperatura w stopniach Fahrenheita,
t(C) – temperatura w stopniach Celsjusza.
Ćwiczenie 1.
Ćwiczenie 2.
Ćwiczenie 3.
Zadanie 1.
Zadanie 2.
Zadanie 3.
Zadanie 4.
Zadanie 5.
Podpunkt a)
Podpunkt b)
Zadanie 6.
Zadanie więcej 1.
Ćwiczenie 4.
Ćwiczenie 5.
Ćwiczenie 7.
Ćwiczenie 6.
Ćwiczenie 8.
Zadanie 7.
Podpunkt c)
Podpunkt d)
Zadanie więcej 2.
Zadanie więcej 3.
Pytanie 1.
Pytanie 2.
Pytanie 3.
Pytanie 4.
Pytanie 5.
Pytanie 6.
Pytanie 7.
Pytanie 8.
Pytanie 9.
Pytanie 10.
Pytanie 11.
Pytanie 12.
Pytanie 13.
Pytanie 14.
Pytanie 15.
Pytanie 16.
Pytanie 17.
Pytanie 18.
Pytanie 19.
Pytanie 20.
Pytanie 21.
Pytanie 22.
Pytanie 23.
Pytanie 24.
Pytanie 25.
Pytanie 26.
Pytanie 27.
Pytanie 28.
Pytanie 29.
Pytanie 30.
Pytanie 31.
Pytanie 32.
Podpunkt I)
Podpunkt II)