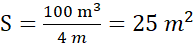
Oblicz pole powierzchni, jakie zajmują płyty styropianowe ważące razem 1200 kg, które są ułożone jedna na drugiej na wysokość 4 m.
Objętość:
Pole powierzchni:
Płyty zajmują 25 m2 powierzchni.
B. 25 m2
Wzór na objętość ma postać:
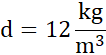
gdzie d – gęstość
m – masa [kg],
V – objętość [m3].
By policzyć pole powierzchni zajmowanej przez płyty, należy podzielić przez objętość ich wysokość. Zakładamy, że płyty będą mieć kształt prostopadłościanu. Jeśli podzielimy objętość prostopadłościanu przez jego wysokość, to otrzymamy pole powierzchni podstawy.
Ćwiczenie 3.
161Ćwiczenie 5.
163Ćwiczenie 7.
164Ćwiczenie 2.
167Ćwiczenie 7.
171Zadanie 7.
173Zadanie 5.
180Zadanie 6.
180Zadanie 7.
180Ćwiczenie 1.
184Ćwiczenie 2.
185Ćwiczenie 3.
188Zadanie 5.
188Ćwiczenie 1.
190Ćwiczenie 3.
191Zadanie 4.
194Zadanie 5.
194Zadanie 2.
196Zadanie 3.
196Zadanie 7.
197Zadanie 9.
198Zadanie 10.
198Zadanie 11.
199Zadanie 12.
199Ćwiczenie 1.
201Ćwiczenie 2.
201Ćwiczenie 3.
202Ćwiczenie 4.
202Ćwiczenie 6.
202Ćwiczenie 8.
203Ćwiczenie 9.
203