Uwzględnij w obliczeniach siłę wyporu działającą na balast i ustal, jak zmieni się wynik, jeżeli ją uwzględnimy.
Gęstość ołowiu:
Gęstość wody w Morzu Śródziemnym
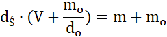
Siła wyporu:
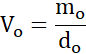
V to objętość człowieka
Siła ciężkości:
gdzie
m to masa człowieka
Siły te są sobie równe:
Objętość ołowiu możemy wyrazić jako:
Podstawiamy:
Dodatkowa masa, jaką musi zabrać nurek wynosi 2,86 kg.
To zadanie ma Ci pokazać, że pominięcie niektórych sił znacznie upraszcza obliczenia, lecz sprawia, że wynik jest mniej dokładny.
Ćwiczenie 3.
161Ćwiczenie 5.
163Ćwiczenie 7.
164Ćwiczenie 2.
167Ćwiczenie 7.
171Zadanie 7.
173Zadanie 5.
180Zadanie 6.
180Zadanie 7.
180Ćwiczenie 1.
184Ćwiczenie 2.
185Ćwiczenie 3.
188Zadanie 5.
188Ćwiczenie 1.
190Ćwiczenie 3.
191Zadanie 4.
194Zadanie 5.
194Zadanie 2.
196Zadanie 3.
196Zadanie 7.
197Zadanie 9.
198Zadanie 10.
198Zadanie 11.
199Zadanie 12.
199Ćwiczenie 1.
201Ćwiczenie 2.
201Ćwiczenie 3.
202Ćwiczenie 4.
202Ćwiczenie 6.
202Ćwiczenie 8.
203Ćwiczenie 9.
203