Dokonaj oszacowania masy powietrza, które jest zawarte w sali lekcyjnej o podanych wymiarach.
Objętość klasy:
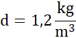
Gęstość powietrza:
Masa:
Wzór na masę ma postać:
gdzie m – masa [kg],
d – gęstość
V – objętość [m3].
Objętość klasy liczymy, mnożąc przez siebie długość, szerokość i wysokość.
Przyjmujemy, że sala ma kształt prostopadłościanu.
Ćwiczenie 3.
161Ćwiczenie 5.
163Ćwiczenie 7.
164Ćwiczenie 2.
167Ćwiczenie 7.
171Zadanie 7.
173Zadanie 5.
180Zadanie 6.
180Zadanie 7.
180Ćwiczenie 1.
184Ćwiczenie 2.
185Ćwiczenie 3.
188Zadanie 5.
188Ćwiczenie 1.
190Ćwiczenie 3.
191Zadanie 4.
194Zadanie 5.
194Zadanie 2.
196Zadanie 3.
196Zadanie 7.
197Zadanie 9.
198Zadanie 10.
198Zadanie 11.
199Zadanie 12.
199Ćwiczenie 1.
201Ćwiczenie 2.
201Ćwiczenie 3.
202Ćwiczenie 4.
202Ćwiczenie 6.
202Ćwiczenie 8.
203Ćwiczenie 9.
203