Z wykresu a) możemy odczytać, że pojazd porusza się ruchem jednostajnie zmiennym.
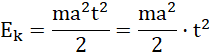
Wiemy, że:
oraz:
A więc:
A to oznacza, że wykres zależności energii kinetycznej od czasu jest funkcją kwadratową.
Odpowiedź: c) III
Pamiętaj, energia kinetyczna to iloczyn połowy masy i kwadratu prędkości. Zależność prędkości od czasu jest liniowa (wykres a)). Oznacza to, samochód rozpędza się z pewnym stałym przyspieszeniem. Prędkość możesz zapisać jako iloczyn przyspieszenia i czasu. Po wstawieniu do wzoru na energię kinetyczną otrzymasz połowę iloczynu masy (stała), kwadratu przyspieszenia (stała) i kwadratu czasu (zmienna), a więc funkcję kwadratową.