Dane:
M = 3,2 kg
m = 8 g = 0,008 kg
h = 8,45 cm = 0,0845 m
g = 10
Niech zwrot osi układu współrzędnych będzie zgodny z kierunkiem ruchu pocisku przed zderzeniem.
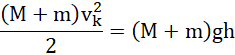
Z zasady zachowania energii dla klocka:
Z zasady zachowania pędu:
Zwroty wektorów prędkości są zgodne, więc:
Odpowiedź: Przed trafieniem w wahadło pocisk poruszał się z prędkością 521,3
Zastosuj zasadę zachowania energii dla wahadła – w momencie trafienia go przez pocisk jego energia mechaniczna to energia kinetyczna (iloczyn połowy masy klocka z pociskiem i kwadratu ich wspólnej prędkości), a w momencie maksymalnego wychylenia jego energia mechaniczna to energia potencjalna (iloczyn wysokości, przyspieszenia ziemskiego i masy klocka z pociskiem). Dzięki tej równości wyznaczysz prędkość wspólną klocka i pocisku. Następnie z zasady zachowania pędu zapisz równość pomiędzy pędem początkowym (pęd pocisku), a pędem końcowym (pęd klocka z utkwionym pociskiem). Wstaw do równości wcześniej wyznaczoną prędkość wspólną i wylicz szukaną prędkość pocisku.