Dane:
h1 = 70 cm = 0,7 m
h2 = 1,5 m
g = 10
Na piłkę nie działają opory ruchu, więc z zasady zachowania energii:
W momencie uderzenia rakietą energia mechaniczna piłki jest równa sumie energii kinetycznej oraz energii potencjalnej:
W maksymalnie najwyższym położeniu energia mechaniczna piłki jest równa energii potencjalnej:
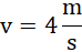
czyli:
Odpowiedź: Zawodnik uderzył piłkę z prędkością
Na ciało nie działają siły zewnętrzne (czyli siły oporów ruchu), więc energia mechaniczna na początku ruchu i na jego końcu jest taka sama. Zauważ, na początku energia mechaniczna jest równa sumie energii kinetycznej oraz potencjalnej, a na końcu – tylko energii potencjalnej, ale wysokość występująca we wzorze ma inną wartość. Z otrzymanej równości wyznacz i wylicz prędkość nadaną przez zawodnika.