Dane:
m = 3 038 500 kg
Zbadajmy przypadek graniczny, czyli taki, gdy siły ciężkości i ciągu rakiety równoważą się, z pierwszej zasady dynamiki rakieta poruszać się będzie wtedy ruchem jednostajnym. Dla większej siły ciągu, czyli dla większej prędkości gazów spalinowych, rakieta wzniesie się ruchem jednostajnie przyspieszonym.
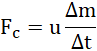
Siła ciągu rakiety wynosi:
Siła ciężkości rakiety to:
więc:
Odpowiedź:
Pamiętaj, siłę ciągu rakiety poznasz, mnożąc prędkość gazów spalinowych przez prędkość spalania. Rakieta zacznie się poruszać, gdy siła ciągu będzie większa bądź równa sile ciężkości rakiety. Badamy przypadek graniczny, więc przyrównaj do siebie wzory na każdą z tych sił i wyznacz prędkość gazów.