W tym zadaniu musisz obliczyć, średnicę Księżyca oraz porównać swoje wyniki z danymi z odpowiedniej tabeli z końca książki.
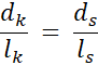
Z twierdzenia Talesa:
Twierdzenie Talesa mówi, że jeżeli przetniemy kąt prostymi równoległymi, to stosunki odpowiednich otrzymanych odcinków będą równe.
Zadanie 15.1.
Zadanie 15.2.
Zadanie 15.3.
Zadanie 15.4.
Zadanie 15.5.
Zadanie 15.6.
Zadanie 15.7.
Zadanie 15.8.
Zadanie 15.9.
Zadanie 15.10.
Zadanie 15.11.
Zadanie 15.12.
Zadanie 15.13.
Zadanie 15.14.
Zadanie 15.15.
Zadanie 15.16.
Zadanie 15.17.
Zadanie 15.18.
Zadanie 15.19.
Zadanie 15.20.
Zadanie 15.21.
Zadanie 15.22.
Zadanie 15.23.
Zadanie 15.24.
Zadanie 15.25.
Zadanie 15.26.
Zadanie 15.27.
Zadanie 15.28.
Zadanie 15.29.
Zadanie 15.30.
Zadanie 15.31.
Zadanie 15.32.
Zadanie 15.33.
Zadanie 15.34.
Zadanie 15.35.
Zadanie 15.36.
Zadanie 15.37.
Zadanie 15.38.
Zadanie 15.39.
Zadanie 15.40.
Zadanie 15.41.
Zadanie 15.42.
Zadanie 15.43.
Zadanie 15.44.
Zadanie 15.45.
Zadanie 15.46.
Zadanie 15.47.
Zadanie 15.48.
Zadanie 15.49.
Zadanie 15.50.
Zadanie 15.51.
Zadanie 15.52.
Zadanie 15.53.
Zadanie 15.54.
Zadanie 15.55.
Zadanie 15.56.
Zadanie 15.57.
Zadanie 15.58.
Zadanie 15.59.
Zadanie 15.60.
Zadanie 15.61.
Zadanie 15.62.
Zadanie 15.63.
Zadanie 15.64.
Zadanie 15.65.
Zadanie 15.66.
Zadanie 15.67.
Zadanie 15.68.
Zadanie 15.69.
Zadanie 15.70.
Zadanie 15.71.
Zadanie 15.72.
Zadanie 15.73.
Zadanie 15.74.
Zadanie 15.75.
Zadanie 15.76.
Zadanie 15.77.
Zadanie 15.78.
Zadanie 15.79
Zadanie 15.80.
Zadanie 15.81.
Zadanie 15.82.
Zadanie 15.83.
Zadanie 15.84.
Zadanie 15.85.
Zadanie 15.86.
Zadanie 15.87.
Zadanie 15.88.
Zadanie 15.89.
Zadanie 15.90.
Zadanie 15.91.
Zadanie 15.92.
Zadanie 15.93.
Zadanie 15.94.