Ujemna ogniskowa oznacza, że soczewka jest rozpraszająca.
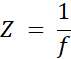
Zdolność skupiająca soczewki to wielkość fizyczna skalarna opisująca zdolność soczewki do skupiania lub rozpraszania światła. Jej symbol to Z, jednostka to dioptria [D]. Zdolność skupiająca soczewki może być dodatnia lub ujemna.
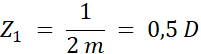
Gdy Z jest dodatnia mamy do czynienia z soczewką skupiającą.
Gdy Z jest ujemna mamy do czynienia z soczewką rozpraszającą.