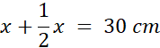
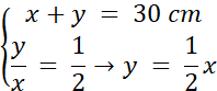
W tym zadaniu musisz obliczyć odległość między przedmiotem i soczewką, przy której odległość między przedmiotem i obrazem wynosi 30 cm oraz wartość ogniskowej soczewki, a następnie narysować schemat powstania tego obrazu.
Rozwiązanie
-powiększenie
Wyjaśnienie
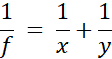
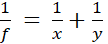
Ogniskową obliczamy z równania soczewki , gdzie f - ogniskowa, x - odległość przedmiotu od soczewki, y - odległość obrazu od soczewki.