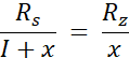
W tym zadaniu musisz obliczyć, jak daleko (x) poza środek Ziemi sięga stożek cienia.
Z podobieństwa trójkątów:
W trójkątach podobnych stosunki długości odpowiadających sobie boków są równe.
Zadanie 15.1.
Zadanie 15.2.
Zadanie 15.3.
Zadanie 15.4.
Zadanie 15.5.
Zadanie 15.6.
Zadanie 15.7.
Zadanie 15.8.
Zadanie 15.9.
Zadanie 15.10.
Zadanie 15.11.
Zadanie 15.12.
Zadanie 15.13.
Zadanie 15.14.
Zadanie 15.15.
Zadanie 15.16.
Zadanie 15.17.
Zadanie 15.18.
Zadanie 15.19.
Zadanie 15.20.
Zadanie 15.21.
Zadanie 15.22.
Zadanie 15.23.
Zadanie 15.24.
Zadanie 15.25.
Zadanie 15.26.
Zadanie 15.27.
Zadanie 15.28.
Zadanie 15.29.
Zadanie 15.30.
Zadanie 15.31.
Zadanie 15.32.
Zadanie 15.33.
Zadanie 15.34.
Zadanie 15.35.
Zadanie 15.36.
Zadanie 15.37.
Zadanie 15.38.
Zadanie 15.39.
Zadanie 15.40.
Zadanie 15.41.
Zadanie 15.42.
Zadanie 15.43.
Zadanie 15.44.
Zadanie 15.45.
Zadanie 15.46.
Zadanie 15.47.
Zadanie 15.48.
Zadanie 15.49.
Zadanie 15.50.
Zadanie 15.51.
Zadanie 15.52.
Zadanie 15.53.
Zadanie 15.54.
Zadanie 15.55.
Zadanie 15.56.
Zadanie 15.57.
Zadanie 15.58.
Zadanie 15.59.
Zadanie 15.60.
Zadanie 15.61.
Zadanie 15.62.
Zadanie 15.63.
Zadanie 15.64.
Zadanie 15.65.
Zadanie 15.66.
Zadanie 15.67.
Zadanie 15.68.
Zadanie 15.69.
Zadanie 15.70.
Zadanie 15.71.
Zadanie 15.72.
Zadanie 15.73.
Zadanie 15.74.
Zadanie 15.75.
Zadanie 15.76.
Zadanie 15.77.
Zadanie 15.78.
Zadanie 15.79
Zadanie 15.80.
Zadanie 15.81.
Zadanie 15.82.
Zadanie 15.83.
Zadanie 15.84.
Zadanie 15.85.
Zadanie 15.86.
Zadanie 15.87.
Zadanie 15.88.
Zadanie 15.89.
Zadanie 15.90.
Zadanie 15.91.
Zadanie 15.92.
Zadanie 15.93.
Zadanie 15.94.